
尿酸流量計
- 品*:JKM/凱銘儀表
- 型號:JKM-LDE
- 測量范圍:0.028~205258m3/h
- 精度等級:0.5級、1.0級
- 公稱通徑:DN10~DN2200
- 適用介質:污水、導電液體
- 工作壓力:1.6~6.3MPa
- 工作溫度:-20~+200℃
- 供電方式:220V 24V 鋰電池
- 訂貨號:TKPISCVQZ503
尿酸流量計產品概述
電磁流量計由電磁流量傳感器和電磁流量轉換器兩大部分組成,主要分為兩大類:一體型和分離型。
電磁流量計是基于法拉*電磁感應定律原理的流量儀表,用于測量封閉管道中導電液體和漿液的體積流量。它廣泛應用于石油化工、鋼鐵冶金、給水排水、水利灌溉、水處理、環保污水、造紙、醫藥、食品等工農業部門的生產過程的流量測量和控制。
尿酸流量計產品特點
1、內部無阻流件,幾乎沒有壓力損失和流體阻塞情況。
2、無機械慣性,響應快速,流量測量范圍寬(流速0.3~12m/s)穩定性好,可以用于自動檢測、調節和程控系統。
3、測量電導率大于5u S/cm液體,測量不受流體密度、粘度、溫度、壓力和電導率變化影響,傳感器感應電壓信號與平均速呈線性關系,測量精度高。
4、精度等級:0.2級、0.5級、1.0級、1.5級。滿足不同用戶需求。
5、傳感器部分只有內襯和電極與被測液體接觸,只要選擇合適電極與內襯材料,即可耐腐蝕和耐磨損。
6、分常規型(壓力小于4.0MPa)與高壓型(壓力大于4.0MPa)。
7、插入式電磁流量計系統分為簡單安裝型與在線安裝型。
8、采用EEPPOM存儲器,測量運算數據存貯保護安全可靠。
9、采用國際先進單片機(MCU)和表面貼裝技術(SMT),性能可靠,精度高,功耗低,零點穩定,中文菜單,參數設定方便。
10、帶4~20Ma,頻率、脈沖輸出,帶報警電平輸出,帶RS485通訊接口,Hart、ModBus協議。
11、高清晰度LCD背光顯示瞬時流量,累積流量(Σ+、Σ-、ΣD)、流速、流量百分比、流量狀態(勵磁、流量、空管)等。
12、流量計采用聚四氟乙烯或橡膠材質襯里和HC、HB、316L、Ti等電極材料的不同組合可適應不同介質的需要。
13、備有管道式、插入式電磁流量計等多種流量計型號。
14、防護等級:一體化結構IP65、分體結構IP68。
15、防爆等級:Exd Ⅱ BT4。
尿酸流量計的測量原理
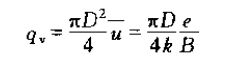
根據法拉*電磁感應定律,當一導體在磁場中運動切割磁力線時,在導體的兩端將產生感應電動勢e,其方向由右手定則確定,其大小與磁場的磁感應強度B,導體在磁場內的有效長度L及導體 垂直于磁場的運動速度u成正比。如果B、L、u三者互相垂直,則e=BLu與此相似,如果在磁感應強度為B的均勻磁場中,垂直于磁場方向放一個內徑為D的不導磁管道,當導電液體在管道中以流速u運動時,導電液體就切割磁力線,如果在管道截面上垂直于磁場的 直徑兩側安裝一對電極(如圖所示)
,則可以證明,只要管道內流速分布為與軸對稱分布,則兩電極間將產生感生電勢
e=κBDū
式中,ū是管道截面上的平均流速(m/s);κ是常系數,無量綱;D是測量管直徑(m);B是磁感應強度(T)。
由此可得通過管道的體積流量
由上式可知,當測量管結構一定時,體積流量qν與比值e/B成正比,面與流體的狀態和物性參數無關,測量比值e/B即可得到體積流量值qν。當磁感應強度B為恒定值時,體積流量qν與感生 電勢e成正比。B是直流磁場或正弦波交流磁場或其它類型磁場的磁感應強度。它由流量計的勵磁系統提供。勵磁系統可以給電磁流量傳感器提供多種形式的磁場波形。不同的磁場波形,直接決定了電磁 流量傳感器工作磁場的特征,也基本上決定了流量計流量信號的處理方法,對流量計的工作性能有很大的影響。所以,自流量計進入商用化以來,勵磁方式始終是人們研究流量計的熱點問題。從流量計開始應用的直流勵磁到現在雙頻方波勵磁,已使用過多種方式的勵磁技術。
尿酸流量計轉換器技術數據
| 電源 | 交流 | 85-265V,45-400Hz | |||||
| 直流 | 11-40V | ||||||
| 操作鍵和顯示 | 按鍵式 |
| |||||
| 磁鍵式 |
| ||||||
| 內部積算器 | 正向總量、反向總量及差值總量。 | ||||||
| 輸出信號 | 單向模擬輸出 |
| |||||
| 雙向模擬輸出 | 下限限制為。或4mA,其他同單向模擬輸出。 | ||||||
| 雙向脈沖輸出 |
| ||||||
| 雙路報警輸出 |
| ||||||
| 數字通訊 | RS232,RS485,HART | ||||||
尿酸流量計范圍選擇
| 內徑(mm) | 10 | 15 | 20 | 25 | 32 | 40 | 50 | 65 |
| Qmin(m3/h) | 0.0283 | 0.0636 | 0.12 | 0.176 | 0.29 | 0.452 | 0.7 | 1.19 |
| Qmax(m3/h) | 4.24 | 9.54 | 16.96 | 26.5 | 43.42 | 67.85 | 106.0 | 179.0 |
| 內徑(mm) | 80 | 100 | 125 | 150 | 200 | 250 | 300 | 350 |
| Qmin(m3/h) | 1.8 | 2.82 | 4.41 | 6.36 | 11.3 | 17.6 | 25.4 | 34.6 |
| Qmax(m3/h) | 271.0 | 424.0 | 662.0 | 954.0 | 1690 | 2650 | 3810 | 5190 |
| 內徑(mm) | 400 | 450 | 500 | 550 | 600 | 700 | 800 | 900 |
| Qmin(m3/h) | 45.2 | 57.2 | 77.6 | 85.5 | 101.0 | 138.0 | 180.0 | 229.0 |
| Qmax(m3/h) | 6780 | 8570 | 10600 | 12800 | 15200 | 20700 | 27100 | 34300 |
| 內徑(mm) | 1000 | 1100 | 1200 | 1400 | 1600 | 1800 | 2000 | 2200 |
| Qmin(m3/h) | 282.0 | 342.0 | 407.0 | 554.1 | 732.7 | 916.0 | 1131.0 | 1368.4 |
| Qmax(m3/h) | 42400 | 51300 | 61000 | 83121 | 108566 | 137404 | 169635 | 205258 |
尿酸流量計內襯材料的選擇
應根據被測介質的腐蝕性磨損性和溫度來選擇內襯材料
| 襯里材料 | 耐腐蝕性能 | 工作溫度 | 適用范圍 |
| 氯丁橡膠Ne | 耐一般低濃度酸堿鹽的腐蝕 | -20~70℃ | 工業用水污水低濃度酸堿鹽 |
| 聚氨酯橡膠PO | 有極好的耐磨性能,專用于強磨損性漿液,不耐腐 | -10~60℃ |
含固體顆粒的液體(水泥漿礦漿等) |
| 聚全氟乙丙烯FEP |
1耐熱耐腐蝕性與PTFE相當 2機械強度高,抗磨損性能好 3內表光滑,不易粘附沉淀物 4有很好的耐負壓,抗真空作用 | -40~180℃ | 除砂漿等強磨損性介質外的所有流體。與PTFE一樣,能用于飲料等有衛生要求的介質 |
| 聚四氟乙烯PTFE | 幾乎可以抵抗所有化學介質的腐蝕,抗磨損性能較差 | -40~180℃ | 不能用于負壓管道及磨損性較強的流體 |
尿酸流量計電極的選擇
應根據被測流體的腐蝕性來選擇電極的材料,請查有關手冊,對于特殊流體應作腐蝕性試驗
| 材料 | 代號 | 耐腐蝕性能 |
| 316L不銹鋼 | V |
1適用于工業、生活用水,原水井水,城市污水等中性溶液 2弱腐蝕性酸、堿、鹽介質如碳酸、醋酸等 |
| 哈氏合金C | HC |
1適用于耐氧化性酸,如硝酸、混酸、鉻酸與硫酸的混合物 2耐氧化性鹽類或其它氧化劑環境的腐蝕如Fe、Cu 3對海水、堿溶液,氧化物溶液有極好的耐腐蝕性 4不適用:鹽酸 |
| 哈氏合金B | HB |
1對于非氧化酸、堿、鹽如硫酸、磷酸、氫氟酸有良好的腐蝕性 2不適用:硝酸 |
| 鈦 | Ti | 耐海水,各種氯化物忽然次氯酸鹽及多種氫氧化物的腐蝕 |
| 鉭 | Ta | 除了氫氟酸外,幾乎能耐一切化學介質的腐蝕。但價格昂貴 |
| 鉑 | Pt | 適用所有的酸堿鹽溶液(發煙硫酸及硝酸) |
| 碳化鎢 | W | 具有優異的耐磨性能,專用于泥漿、紙漿等磨損性介質 |
尿酸流量計選型表
| 型號 | 口徑 | |||||
| KMLDE | 15~2600 | |||||
| 代號 | 電極材料 | |||||
| A | 316L | |||||
| B | HB | |||||
| C | HC | |||||
| D | 鈦 | |||||
| E | 鉭 | |||||
| F | 鉑合金 | |||||
| J | 不銹鋼涂覆碳化鎢 | |||||
| 代號 | 內襯材料 | |||||
| C1 | 聚四氟乙烯F4 | |||||
| C2 | 聚全氟乙丙烯F46 | |||||
| C3 | 聚氟合乙烯FS | |||||
| C4 | 聚錄丁橡膠 | |||||
| C5 | 聚氨脂橡膠 | |||||
| 代號 | 功能 | |||||
| E1 | 0.3級 | |||||
| E2 | 0.5級 | |||||
| E3 | 1級 | |||||
| F1 | 4-20Madc,負載≤750Ω | |||||
| F2 | 0-3khz,5v有源,可變脈寬,輸出高端有效頻率 | |||||
| F3 | RS485接口 | |||||
| T1 | 常溫型 | |||||
| T2 | 高溫型 | |||||
| T3 | 超高溫型 | |||||
| P1 | 1.0MPa | |||||
| P2 | 1.6MPa | |||||
| P3 | 4.0MPa | |||||
| P4 | 16MPa | |||||
| D1 | 220VAC±10% | |||||
| D2 | 24VDC±10% | |||||
| J1 | 一體型結構 | |||||
| J2 | 分體型結構 | |||||
| J3 | 防爆一體型結構 | |||||

上一篇:乙酸乙酯流量計|數顯液體渦輪式
下一篇:硫磺流量計|漿液型電磁式


